技术交流

扫描二维码
或添加“GeneGroup003”
获取更多更新资讯
商城订购

扫描二维码
或添加“基因商城(GeneMart)”
手机下单,快人一步
售后服务

扫描二维码
或添加“GeneGroup005”
获取更快速售后支持
CYP2C19/CYP2D6研究新进展!高精准长读长HiFi测序助力新型变异功能鉴定
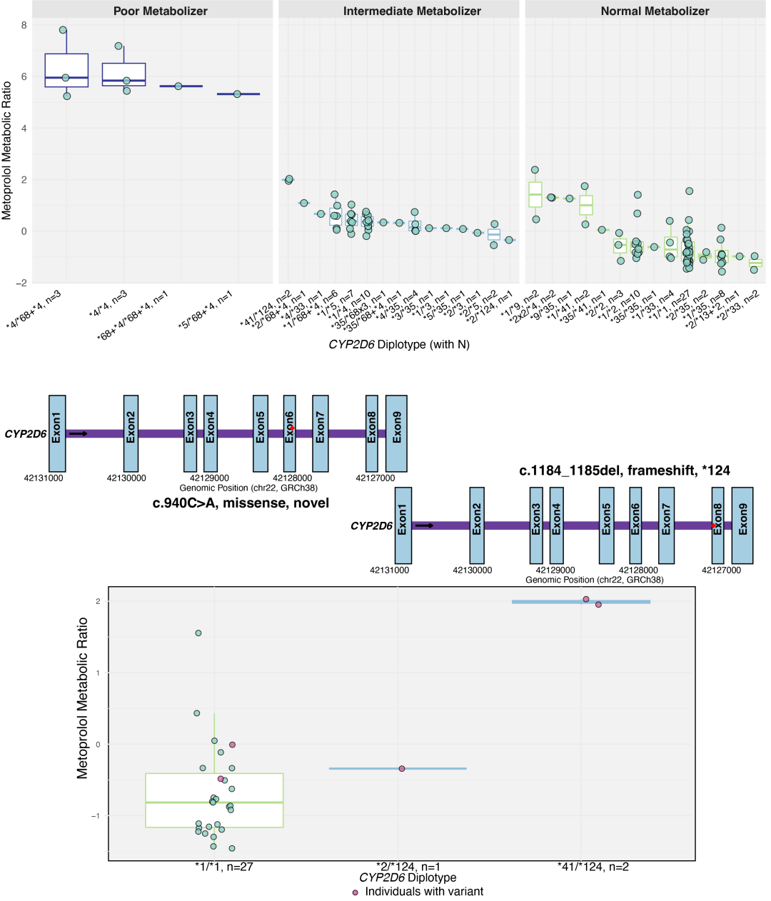
文献速递 细胞色素P450(CYP)酶在多种药物的代谢过程中发挥关键作用,其基因遗传变异会显著影响不同个体的药物反应。在CYP同工酶中,CYP2C19和CYP2D6尤为重要,参与约35%~40%临床常用药物的肝脏代谢。尽管目前已发现多种稀有变异,但评估其功能影响仍面临挑战。 近日,Npj Genomic Medicine发表了一项针对爱沙尼亚生物样本库(EstBB)的重要研究,团队利用PacBio高精准长读长HiFi测序技术,对CYP2C19和CYP2D6基因的稀有/新型遗传变异开展了体内药代动力学表型分析,首次在体内证实了多个新型结构变异的功能效应,为药物基因组学的精准研究和个体化治疗提供了关键证据。 高精准长读长HiFi测序作为第三代测序技术,兼具长读长与高准确度的双重优势,能精准解析短读长测序难以识别的复杂结构变异(如基因缺失、融合基因、串联重复),实现高分辨率的星等位基因分型和单倍型定相,为药物基因组学中复杂基因区域的变异鉴定提供了金标准级别的技术支撑,这也是该研究能成功挖掘CYP2C19/CYP2D6新型变异功能的关键。 研究对象招募:从637名携带CYP2C19/CYP2D6 稀有/新型变异、结构变异的候选者中,最终纳入114名完成全流程的参与者,队列以中年成人群体为主。 探针药物与表型检测:分别以奥美拉唑(针对CYP2C19)、美托洛尔(针对CYP2D6)为探针药物,在10个时间点采集血样,通过UHPLC-HRMS检测药物及代谢物血浆浓度,计算代谢比值反映酶活性。 HiFi长读长测序核心应用:对112名参与者进行PacBio HiFi测序,实现CYP2C19/CYP2D6基因区域SNV和结构变异的精准鉴定、复杂融合基因(CYP2D6-CYP2D7)的解析,结合pb-StarPhase算法完成高分辨率星等位基因(star alleles,研究金标准)分型,弥补短读长测序无法有效区分变异的相位以及因读长连续度有限而漏检或误判稀有/新型变异;同时利用HiPhase进行单倍型定相,Sawfish检测结构变异。 药物-药物相互作用(DDI)分析:结合处方史和血浆药物检测,评估抑制剂/诱导剂对代谢表型的影响;通过线性回归、GWAS分析验证基因型、DDI与代谢比值的关联。 首次鉴定CYP2C19新型缺失等位基因 HiFi测序精准解析了CYP2C19的两种部分缺失变异:CYP2C19*37(至少包含第1外显子的基因部分缺失,65名携带者)和新型 CYP2C19*42(第2-5外显子缺失,2名携带者,图1),并确认所有CYP2C19*37等位基因断裂点一致,为反复缺失事件,CYP2C19*42为特有基因内缺失(已提交药物基因变异联盟PharmVar审核)。体内表型分析显示:CYP2C19*37纯合子表现为明确的慢代谢(PM)表型,与无功能的 CYP2C19*2/*2 单倍型表型一致;CYP2C19*37/*42表现为中间代谢(IM)表型,首次在体内证实这两种缺失变异均为功能缺失型(图1),且在爱沙尼亚人群中富集(频率1.9%)。 图1. CYP2C19部分缺失变异的功能表征及其对奥美拉唑代谢的影响。CYP2C19*37:del_exon1-5,蓝色标示缺失;CYP2C19*42:del_exon2-5,粉色标示缺失。 解析CYP2D6新型变异与融合基因 HiFi测序精准鉴定CYP2D6基因94种变异(21种未收录于PharmVar),并完成CYP2D6/CYP2D7融合基因精准分型。 发现新型错义变异c.940C>A(2名参与者携带,图2),预测具致病性,但功能数据不足,其携带者代谢比值有升高趋势(未达统计学显著性)。 证实CYP2D6*124为功能降低型(图2),其与*41的复合杂合子表型向慢代谢偏移,但非完全无功能。 明确移码变异c.1450del仅存在于CYP2D6*68单倍型,不额外影响酶活性(图3);证实CYP2D6*68及*68+*4单倍型无功能,且发现1名参与者携带3个*68拷贝。 验证CYP2D6*9、*41等位基因会降低酶活性,与既往研究一致。 图2. 携带CYP2D6新型变异个体的星等位基因基因型与代谢比值关联图。携带变异的个体以粉色圆点表示;未携带变异的个体以蓝色圆点表示。 图 3. CYP2C19(探针药物奥美拉唑)和CYP2D6(探针药物美托洛尔)星等位基因双倍型对应的代谢比值。功能正常的星等位基因被归为一组,记为NMa(包括CYP2C19*1 和38;CYP2D6*1、*2、33和35)。基因型按预测的代谢表型着色:深蓝色:慢代谢型;浅蓝色:中间代谢型;绿色:正常代谢型;橙色:快代谢型;红色:超快代谢型。携带未收录于PharmVar数据库的CYP2D6错义或无功能变异的个体以粉色圆点表示。这5种错义变异分别是:c.932C>T、c.911C>T、c.910T>C、c.901G>A、c.899C>G。 药物-药物相互作用(DDI)分析 HiFi 测序实现了精准的星等位基因分型(图3),但研究发现部分个体代谢活性与基因型不符,为异常值;结合血浆药物检测和处方史证实,CYP2C19/CYP2D6抑制剂暴露是导致表型转换的关键原因(图 4),且抑制剂使用能独立升高代谢比值(CYP2C19 P=3.0×10⁻⁶,CYP2D6 P=0.02),提示药物基因组学研究中需同步考虑 DDI 的影响。 基于HiFi测序数据的GWAS分析证实,CYP2C19/CYP2D6 是奥美拉唑/美托洛尔代谢的唯一核心驱动基因,结构变异、稀有SNV和DDI是代谢表型变异性的主要原因,排除了其他基因组区域常见变异的干扰。 图4. 确认相互作用药物及其对CYP2C19和CYP2D6代谢的影响。(a) CYP2C19 探针药物奥美拉唑,(b) CYP2D6 探针药物美托洛尔。每个点代表一个个体的代谢比值,颜色表示与DDI相关的药物暴露情况:蓝色:无暴露;橙色:通过血浆药物检测确认的DDI;紫色:从处方数据推断的DDI;粉色:通过处方史和血浆检测双重确认的DDI。 解析复杂基因区域:突破短读长测序的局限,能明确变异的染色体定位、单倍型背景,精准鉴定CYP2C19/CYP2D6的结构变异(缺失、重复)、融合基因(CYP2D6/CYP2D7),实现复杂星等位基因的高分辨率分型,解决了药物基因组学中复杂基因区域变异鉴定的技术难题; 助力新型变异的发现与功能验证:首次鉴定并命名CYP2C19*42,为多个未被验证的稀有变异(如CYP2D6*124、c.940C>A)提供了体内功能证据,丰富了药物基因变异数据库,为临床基因分型检测提供了新的靶点; 提升药物基因组学研究的整体准确性:以HiFi测序为基础的星等位基因分型被定为研究金标准,能有效区分基因型与表型的异常值,结合DDI分析后,大幅提升了基因-药物相互作用分析的精准度。 准备好开启您的探索之旅了吗? 新的一年已经到来,我们期待与大家携手,借助HiFi测序的力量共创更多可能。 读到这里,如果您对HiFi测序技术感兴趣,可扫描右侧二维码联系产品经理,也可联系您身边的基因人~ 基因有限公司作为PacBio公司中国区合作伙伴,自2011年以来将PacBio第三代单分子实时测序技术引入国内,一直为国内用户提供专业的三代测序系统的安装培训,技术支持,应用培训与售后维护工作,赢得客户的一致好评与信任。基因有限公司将一如既往的支持越来越多的PacBio用户。 关于基因 基因有限公司成立于1992年,是一家提供生命科学科研仪器、试剂耗材和技术服务的综合服务商。基于“Gene Brightens Every Life • BioTech Connects the World”——“基因燃亮生命 • 生物技术连接世界”的愿景,专注于生命科学领域前沿技术的引进和推广,致力于推动该领域国内科研机构硬件水平及实验方案的革新与升级。同时,公司也一直致力于自主品牌的科研设备的研发与生产,拥有一系列通用性强、互补性高的自主品牌产品。 基因的服务网络遍及全国各地十多个大中城市,拥有包括仪器销售,试剂销售,市场与技术支持,维修,客服,物流等多个部门组成的完整服务体系。 我们希望通过不懈努力,为您的成功铺路搭桥,也为中国的生命科学事业赶超世界先进水平尽一己之力。欲了解更多信息,请访问www.genecompany.cn。








\r\n\n", 3,$destination); ?>