技术交流

扫描二维码
或添加“GeneGroup003”
获取更多更新资讯
商城订购

扫描二维码
或添加“基因商城(GeneMart)”
手机下单,快人一步
售后服务

扫描二维码
或添加“GeneGroup005”
获取更快速售后支持
Sanger测序中GC-rich序列样本处理如何优化,DS3000给您建议
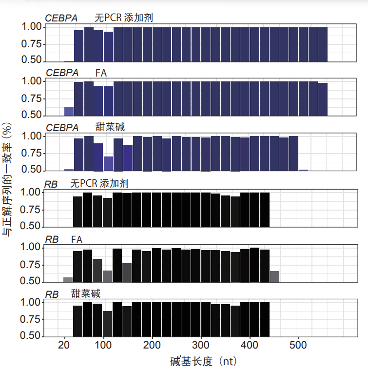
“概要” 富含鸟嘌呤 (G) 与胞嘧啶 (C) 的序列 (GC-rich序列) 通常出现在转录调控区域等的基因组上功能重要的位置。而GC-rich序列往往会阻碍PCR或测序过程中聚合酶的延伸反应,导致无法获得目标产物或序列。这种现象是由于G-C形成的碱基对比A-T更稳定,双链DNA不能很好地被解链。因此,在对GC-rich序列进行PCR或测序时,可添加促进DNA解链的PCR添加剂,如甲酰胺 (FA) 与甜菜碱 [1,2]。 在此实验中,以GC-rich序列为目的序列,对FA与甜菜碱的浓度及添加时间进行了研究。结果表明,通过添加PCR添加剂,即使在GC含量高于70%的情况下,也可获得PCR产物。但同时,如果在测序中添加PCR添加剂,不仅会降低信号强度,还会在波形数据中混入干扰峰,碱基的错误读取也有所增加。 “结果” PCR添加剂对GC-rich序列扩增的影响 根据表3所示加入PCR添加剂并扩增CEBPA及RB,测定所得PCR产物的纯度(图1): 1. 在CEBPA中,未添加PCR添加剂时,仅可扩增约1,000 bp的错误产物,非目标产物(587 bp);添加不同PCR添加剂后,均可获得587 bp的目标PCR产物。 2. 在RB中,不添加PCR添加剂可获得PCR目标产物(466 bp)。如果添加甜菜碱与FA(3%),可提高PCR目的产物的量(图1)。 图1. 确定PCR产物 使用Agilent D1000 ScreenTape System(安捷伦技术)分析PCR反应后的溶液。黑框表示正确的PCR产物条带。在CEBPA中,未添加PCR添加物的样品(图中的“无”),在RB中FA10%的样品未能获得正确的PCR产物。根据左端的DNA梯形电泳图确认了PCR产物的碱基长度。 PCR添加剂对GC-rich序列循环测序反应的影响 如图6所示,以添加甜菜碱扩增的CEBPA作为样品在DS3000上进行循环测序。如图如图2所示,可以得到清晰的波形图。 图2. GC-rich序列的峰波形 显示了模板DNA使用CEBPA的样品的电泳图。图2是使用sangerseqR (参考文献4) 绘出,并使用Illustrator (奥多比系统) 来追加记载信息。横轴的碱基长度将与序列引物3’末端相邻的碱基计数为1。 接着,继续在循环测序反应中比较了不同PCR添加剂的效果。 图3是对各个条件下的QV20CRL(Contiguous Read Length,每20个碱基的QV的平均值)进行的比较。在桑格序列中,根据电泳获得的峰的颜色与波形推定碱基。当QV值为20时,推定的碱基的信赖性为99%。从图3中可看到由于PCR添加剂会降低QV20CRL值。 因此,上述结果表明,在测序环节添加PCR添加剂会降低反应产物的质量。 QV20CRL是表示循环数据质量的指标,是指在电泳中得到的碱基序列中,表示可高度信赖区域的碱基长度的指标。在RB中,所有条件下的QV20CRL均短于CEBPA。 这是由于RB的PCR产物(466 bp)短于CEBPA(587 bp)的缘故。柱状图显示了8次试行的平均值,误差棒表示标准偏差。 此外,对CEBPA的100-300 nt区域的峰波形进行比较(图4)。添加甜菜碱后,信号强度降低到1/10左右。结果是样品的峰与干扰峰重叠,发生了读取错误(图4、黑框部分)。在RB中也观察到相同的倾向(data not shown)。 图4. 峰波形的比较 显示以CEBPA为模板得到的峰波形。所使用的PCR添加剂如图中所记载。红色阴影部分是发生读取错误的区域。箭头表示黑框部分的放大图。 序列读取精度的比较 对比不同情况下的波形图,发现读取精度在100 nt附近降低(图5)。这是由于混入染料终止剂造成峰波紊乱(参考文献3)。建议可以使用市售的纯化试剂盒对上机测序前的DNA进行可能存在的染料终止剂的去除(例,BigDye Xterminator Purification Kit,Thermo Fisher Scientific)。 图5. 每个碱基长度的读取精度 在各条件下分别实施8次序列测试,将获得的每20个碱基碱基与正确序列一致的比例汇总后进行了比较。 “结论” PCR添加剂,已被证实可提高PCR反应的效率。但在循环测序反应中会造成数据质量下降。因此,如果GC-rich序列在扩增或者测序中未能获得预期质量的数据,可以考虑使用PCR添加剂。操作时推荐参考本资料来调整PCR添加剂的种类、浓度和添加时间,以及酌情使用纯化试剂盒去除PCR添加剂的影响。 “实验方法” 样品调制 循环测序反应 根据表5~7实施循环测序反应。反应后,用乙醇沉淀除去剩余的染料终止剂与盐。 电泳 按表8所示条件在DS3000上实施sanger测序。














参考文献: 1. Grassi M., Volpe E., Colizzi V., & Miriani F. An improved, real-time PCR assay for the detection of GC-rich and low abundance templates of Mycobacterium tuberculosis testing. J. Microbiol. Methods. 64, 406-410 (2006) 2. Henke W., Herdel K., Jung K., Schnorr D., & Loening S., A. Betaine improves the PCR amplification of GC-rich DNA sequences. Nucleic Acids Res. 25, 3957-3958 (1997) 3. “HTB-DS-TS-J001 100 bases 附近出现干扰峰” https://biz.hitachihightech.com/sinavi/asi_articledetailkijiId=SU210863&viewLanguage=ja 浏览需要注册(免费)。请在这里注册,详情请咨询基因有限公司。https://biz.hitachi-hightech.com/sinavi/ASI_TopPage?viewLanguage=ja 4. Hill, J., T., et al. Poly peak parser: Method and software for identification of unknown indels using sanger sequencing of polymerase chain reaction products. Developmental Dynamics. 243, 1632-1636 (2014) · 本资料中刊登的数据仅为测试示例,不确保数据的准确性。 · 本资料中的图片为嵌入合成图。 · 该系统仅供科研使用,不用于任何动物或人类的治疗或诊断用途。 · 本资料中的公司名称、商品名称为各公司的商标及注册商标。 “联系我们” HITACHI公司是专业的一代测序仪生产与制造公司,其代表产品DS3000秉承日立多年来研究开发的毛细管技术与激光辐射技术成为性能优异的小型CE测序仪。基因有限公司作为HITACHI公司的特约经销商,可为感兴趣的客户提供专业的产品咨询、技术答疑、应用培训与售后维护工作等。 如果您感兴趣,欢迎添加工作人员的企业微信进行一对一沟通,也可以联系您身边的基因人。 关于基因 基因有限公司成立于1992年,是一家提供生命科学科研仪器、试剂耗材和技术服务的综合服务商。基于“Gene Brightens Every Life • BioTech Connects the World”——“基因燃亮生命 • 生物技术连接世界”的愿景,专注于生命科学领域前沿技术的引进和推广,致力于推动该领域国内科研机构硬件水平及实验方案的革新与升级。同时,公司也一直致力于自主品牌的科研设备的研发与生产,拥有一系列通用性强、互补性高的自主品牌产品。 基因的服务网络遍及全国各地十多个大中城市,拥有包括仪器销售,试剂销售,市场与技术支持,维修,客服,物流等多个部门组成的完整服务体系。 我们希望通过不懈努力,为您的成功铺路搭桥,也为中国的生命科学事业赶超世界先进水平尽一己之力。欲了解更多信息,请访问www.genecompany.cn。


\r\n\n", 3,$destination); ?>