技术交流

扫描二维码
或添加“GeneGroup003”
获取更多更新资讯
商城订购

扫描二维码
或添加“基因商城(GeneMart)”
手机下单,快人一步
售后服务

扫描二维码
或添加“GeneGroup005”
获取更快速售后支持
Covaris AFA技术助力蛋白质组学研究样本前处理
蛋白组学样本前处理是否有亟待解决的问题?
在蛋白质组学分析中,研究人员的目的是想从样本中获得客观真实的多肽/蛋白质,以便发现科学问题。一般会使用分辨率灵敏度均较高的质谱仪进行分析,再拿到数据结果。大多数情况下,研究人员已经意识到质谱分析系统性能的重要性,但并未认识到上游实验中蛋白样本获取的重要性。在质谱前样本处理过程中如何以较少的处理时间获得更多得率和种类的多肽/蛋白质?如何在样本处理中尽量保持蛋白质的修饰状态(比如磷酸化等)?对于以上这些问题,现有的探究水平是不够的,且进一步的深入探究是非常有必要的。 目前有没有比较新且有效的解决方案? Covaris自动声波聚焦技术(Adaptive Focused Acoustics®,AFA®)提供了一种自动化、标准化、高通量的质谱分析前样本制备方案。无论是细胞、新鲜组织还是FFPE(福尔马林固定石蜡包埋)组织样本,基于AFA®技术处理样本不仅可以节约时间,还可以提高富集的多肽/蛋白质的得率和种类,这使得具有低起始量特点的临床样本或者其他类型的样本用于蛋白质组学分析成为可能。
01 解决方案一 基于Adaptive Focused Acoustics® (AFA®)超声技术的修饰后蛋白富集与捕获方法(APAC) 实验过程如下:将人类腺瘤FFPE样本制备的多份蜡卷加入96孔板中(上图A),通过加热(95℃) 结合AFA®超声(上图红框标注)处理进行解交联同时乳化石蜡,处理后获得乳白色溶液,表明石蜡被有效的乳化并从组织中分离(上图A、B)。为了从该溶液中纯化蛋白质,此次优化了近期发表的依赖于变性蛋白质在磁珠上富集 (上图A、C)的PAC方案。蛋白结合在磁珠上后用异丙醇洗涤除去残留的石蜡,并在50℃下孵育促进洗涤。随着乳状上清液逐渐变得澄清,石蜡也被逐渐清除至完全清除(上图 A、D)。最后,在磁珠上进行胰酶消化,得到纯净的肽溶液,在LC-MS上机之前通过 SDB-RPS Stage Tips对其进行脱盐(上图E)。
AFA®聚焦超声裂解结合修饰性蛋白富集捕获(PAC)技术,是一种全新的FFPE样本蛋白质谱分析前处理方法,该方法无需使用二甲苯,即可有效地从组织中乳化分离石蜡,并从石蜡溶液中纯化蛋白质,既保证了蛋白质组的分析深度、解交联效率和蛋白质丰度的动态范围,同时也提高了重复性。这个全新的方法可以使用单管处理,也兼容8联排管甚至是96孔板,为实现基于质谱的高通量蛋白质组学研究奠定了基础。 因此,此方案代表了一种无毒、可重复和高通量的基于质谱的蛋白质组学的FFPE组织分析方法。
02 解决方案二 基于AFA®+S-Trap的FFPE样本处理方案,突破传统方法局限,大幅提升蛋白组学数据的质量和价值
对于FFPE样本的蛋白质组学分析,可使用自动聚焦声波(AFA®)超声和S-Trap样品处理的优化工作流程,直接溶解(HYPERsol)进行高得率蛋白提取和回收,具体工作流程如下图所示,FFPE蜡卷在含有5%SDS的Covaris试管中进行AFA®超声处理用于样本裂解,AFA®技术和SDS的结合将简化石蜡去除和乳化,同时有效地溶解所有类型的蛋白质;解交联在同一管中进行。当进行完最后一步AFA 处理后,样品转移到 S-Trap 柱上,进行蛋白质还原和消化。这一方法可以使FFPE样品的蛋白质组覆盖和定量与快速冷冻组织相比(平均R= 0.936)。


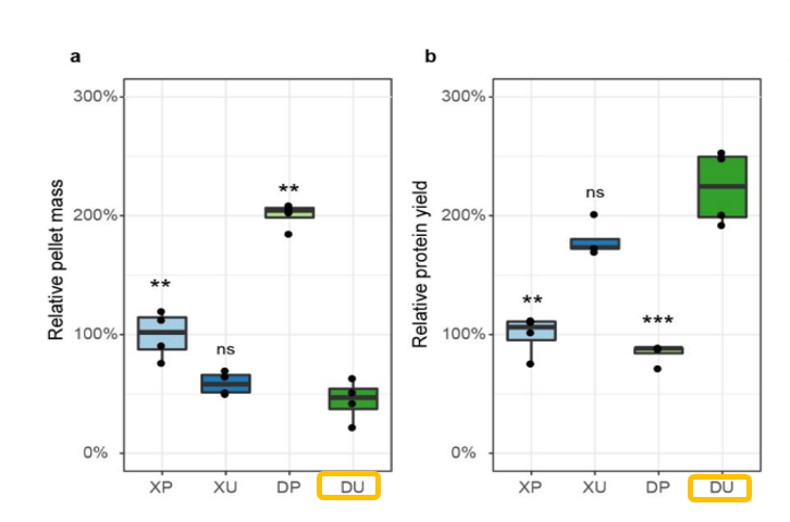
脱烷基化、蛋白质增溶和多肽样品制备是蛋白质组学样品制备中的三个重要步骤,对比不同方法对FFPE肝脏样品的溶解程度,1:与传统的二甲苯脱蜡+探头超声(对应表中的X+P,图中XP)工作流程相比,使用二甲苯脱蜡+AFA®匀浆(对应表中的X+U,图中XU,U即代表AFA®技术)的方法以及5% SDS+AFA®匀浆(对应表中D+U,图中DU,U即代表AFA®技术)的方法都溶出了两倍左右的蛋白质,且两种方法剩余的不溶物只有X+P法的一半; 2:相较于二甲苯脱蜡+AFA®匀浆(对应表中的X+U,图中XU),5% SDS+AFA®匀浆(对应表中D+U,图中DU)的方法溶出的蛋白更多,剩余的不溶物更少(见下图)。因此,使用HYPERsol的方法(上图黄框标注部分)即5% SDS+AFA®+S-Trap的方法可更有效进行高得率蛋白的提取和回收。
剩余不溶物与溶出蛋白对比 以上结果说明Covaris AFA®超声可以起到很好的蛋白质释放效果,结合5% SDS直接溶解的脱蜡方法,可以简单高效的处理蛋白样本。 以上数据来自于:HYPERsol: High-Quality Data from Archival FFPE Tissue for ClinicalProteomics, Dylan M. et al,Journal of Proteome Research 2020, 19, 2, 973-983 DOI: 10.1021/acs.jproteome.9b00686 03 解决方案三
Covaris AFA®聚焦超声与AutoSP3相结合,适用于大规模的蛋白质组学研究,可以为几台质谱仪提供检测样品。
从新鲜冷冻组织或细胞到准备注射的多肽和LCMS的整个工作流程的示意图 将细胞/FFPE样本/新鲜冰冻组织转移到AFA® tube中,经过AFA®聚焦式超声处理进行样品裂解和蛋白提取,从每种组织中提取的蛋白质量与湿组织输入物质的质量呈线性相关(下图 B),每毫克心脏组织蛋白质含量约为100ug,每毫克肝脏和肾脏组织蛋白质含量约为130ug。 蛋白提取后,将96 AFA-tube TPX板直接转移到Bravo系统中进行AutoSP3,执行包括还原、烷基化、蛋白质纯化、消化和肽回收的所有步骤。随后随机选择每个样本类型的5个重复,使用LC-MS获取蛋白质组数据。 在所有样本组中,鉴定的多肽强度高度一致,心脏、肝脏、肾脏和HeLa细胞的平均皮尔逊相关性分别为0.94、0.96、0.95和0.87(下图C)。在每个样品类型的5个重复中,定量蛋白质的数量具有高度的可重复性(下图D)。从组织裂解到LC-MS数据采集整个过程的处理精度,超过84%的定量蛋白质的CV < 30%,CV值中位数为13.7%(心脏),10.4%(肝脏),12.0%(肾脏)和15.5% (HeLa细胞),反映出从组织裂解到生成MS数据的所有步骤的处理高度一致(下图E)。 将超声与autoSP3接口用于自动化组织蛋白组学 以上结果证明了AFA® 超声与AutoSP3的结合是一种非常有效的方法,可以从新鲜冰冻组织中自动化地生产直接用于MS的多肽。 以上数据来自于Automated sample preparation with SP3 for low‐input clinical proteomics, Mueller et al, Mol Syst Biol (2020)16:e9111 DOI: 10.15252/msb.20199111 何为AFA®技术? 自动声波聚焦技术(Adaptive Focused Acoustics®,AFA®) 自动声波聚焦技术(Adaptive Focused Acoustics®,AFA®),是在传统超声波处理基础上的技术革新,通过球面固态超声换能器将声波聚集到样本区域,对样本进行处理。聚焦声波能够以极低的能量输入获得良好的处理效果,避免传统超声能量过剩引起的样本处理过度及热损伤。Covaris AFA®通过精确的计算机控制系统和自动化的仪器操作,为样本处理提供高效可控、重复性优良、温度恒定及无污染的处理环境。


扫描二维码 了解更多 基因有限公司作为Covaris公司在中国的合作伙伴和代理商,为您提供完整的质谱前处理、DNA 片段化、ChIP实验、核酸提取等解决方案。基因有限公司的宗旨是“专才为专家服务”,有专业团队为各大科研机构提供安装培训,技术支持,应用培训与售后维护一条龙服务,赢得客户的一致好评与信任。想要了解更多,请关注我们的官方微信“基因快讯”或联系您身边的基因有限公司员工。 更多前沿资讯,欢迎扫码获取


\r\n\n", 3,$destination); ?>