技术交流

扫描二维码
或添加“GeneGroup003”
获取更多更新资讯
商城订购

扫描二维码
或添加“基因商城(GeneMart)”
手机下单,快人一步
售后服务

扫描二维码
或添加“GeneGroup005”
获取更快速售后支持
【讲座回放】LipidBrick®改进LNP配方助力mRNA治疗
编者荐语:
LipidBrick IM21.7c提高了药物效率和制剂稳定性,而不会出现安全问题。
以下文章来源于Polyplus转染专家 ,作者Polyplus
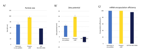
LipidBrick®IM21.7c讲座回听 新型阳离子脂质对LNP特性和体内生物分布的影响 助力mRNA治疗 或复制链接,电脑端回听讲座。 http://class.emedclub.com/webcast/view/Z4ST8fTd9PzowoeuVen6w LipidBrick® IM21.7c Polyplus拥有LipidBrick®的专利,以避免任何可能阻碍治疗进展的专利侵权。 概念验证 LNP 定性测试 in vivo-jetRNA+:Polyplus提供的即用型脂质体配方 使用Dlin-MC3-DMA的LNP:使用Dlin-MC3-DMA离子化脂质的类似 Onpattro® 的 LNP 配方(市售) 图2:Polyplus cLNP特性。A/脂质体的大小,in vivo-jetRNA®+使用推荐操作方法或者LNP在室温条件下和250μg/ml mRNA形成复合物一小时后使用动态光散射(DLS)测量。B/脂质体的Zeta电位,in vivo-jetRNA®+使用推荐操作方法或者LNP在室温条件下和250μg/ml mRNA形成复合物一小时后,使用电泳光散射(ELS)测量。C/使用in vivo-jetRNA®+或LNP包装mRNA(编码荧光素酶)的效率,使用RiboGreen试剂盒分析。 效率和生物分布 图3:使用LipidBrick® IM21.7c形成的LNP通过IV注射将mRNA有效递送到不同的器官。使用in vivo-jetRNA®+或LNPs通过静脉注射(眼眶注射)将编码荧光素酶的mRNA注射到小鼠中。mRNA用量为7.5μg mRNA/小鼠。注射后24小时评估荧光素酶表达。 LNP稳定性 Polyplus在CaCo-2细胞体外mRNA模型中测试了其LNP配方超过3 个月(图4)。该研究表明,当LNP/mRNA储存在4°C时,LNP非常稳定并且表达良好。 图4:使用LipidBrick® IM21.7c的LNP稳定性超过3个月。Polyplus cLNP包装编码荧光素酶的mRNA,用于CaCo-2细胞系中。LNPs在4°C下储存了13周,在第5周、10周和13周时对荧光素酶的表达进行了评估。使用in vivo-jetRNA®+的脂质体是根据我们的标准操作手册新鲜制备的。 LNP安全性 图5:含有IM21.7c的Polyplus cLNP触发的细胞因子谱与使用Dlin-MC3-DMA的LNP相似。通过静脉注射(眼眶注射)在小鼠中注射了200μLmRNA-LNP,使用10μg编码荧光素酶的mRNA,mRNA/LNP的比例为1:2(μgmRNA:μL LNP)。注射后2至24小时收集血液,用MACSPlex测量IFN-γ,TNF-α,GM-CSF,IL-2,IL-4,IL-5,IL-10,IL-12,IL-17A,IL-23的水平,并通过ELISA测量IL-1α,IL-1β,IL-6的水平。LPS(200μg)和PBS注射到小鼠分别作为阳性和阴性对照。细胞因子的功能分类基于Turner等人的(Biochimica et Biophysica Acta (BBA) – Molecular Cell Research, 2014; https://doi.org/10.1016/j.bbamcr.2014.05.014.)









\r\n\n", 3,$destination); ?>