技术交流

扫描二维码
或添加“GeneGroup003”
获取更多更新资讯
商城订购

扫描二维码
或添加“基因商城(GeneMart)”
手机下单,快人一步
售后服务

扫描二维码
或添加“GeneGroup005”
获取更快速售后支持
PacBio HiFi测序之神经退行性疾病专题——渐冻症(ALS)相关的串联重复分析
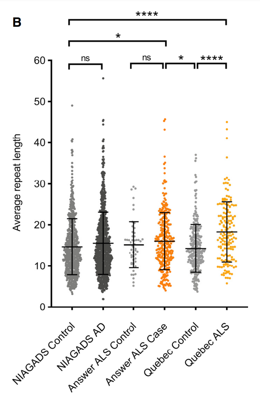
The Problem 神经退行性疾病是神经元结构或功能逐渐丧失 (包括神经元死亡),而导致功能障碍的一类疾病,包括帕金森病 (Parkinson’s disease,PD)、阿尔茨海默病 (Alzheimer’s disease,AD)、亨廷顿氏病 (Huntington disease,HD)、肌萎缩侧索硬化症 (Amyotrophic lateral sclerosis,ALS,俗称渐冻人症) 以及脊髓性肌萎缩症 (Spinal muscular atrophy,SMA) 等等。这往往是一类发展性,不断进行中的、具有致死性的复杂疾病。已经有研究表明人类基因组中40多个串联重复扩张(Tandem Repeat Expansions)与神经退行性疾病的致病因素相关,然而短读测序不能捕捉到这些大的重复扩张,导致它们在许多研究中被遗漏。 大量重复扩张的区域是短读长测序技术的难点,而PacBio 的HiFi测序则轻而易举的全面覆盖 The Solution 为了确定神经退行性疾病的遗传驱动因素,往往需要获得完整的基因组图谱,用以检查全范围基因组变异,这就包括了以前认为不可能测序的区域。 PacBio的高精度的长读长测序技术——HiFi 测序,使得科学家们能对这些过去无法读取的区域发起挑战。通过HiFi测序,能够对这些区域中的碱基进行挨个测序,并同时对那些非常大的重复序列进行全面而完整地展示。基于单分子实时(SMRT)测序的HiFi测序技术已经揭示了序列重复相关的多种神经系统疾病,如脆性X综合征、共济失调等。这些发现清楚地揭示了重复序列的数量和其中难以发现的碱基中断,使科学家对神经疾病的遗传基础有了更全面的了解,也给神经退行性疾病的早期诊断带来了新的曙光。 The Results 在接下来的几篇文章中,我们即将向您逐一介绍PacBio测序技术在神经退行性疾病中的具体案例。特别是与神经退行性疾病高度相关的重复序列的检测和分析方法,希望能给您的相关研究带来一定的启发。 SMRT测序帮助华盛顿大学研究者揭示与ALS相关的串联重复 这一发现始于华盛顿大学的医学遗传学助理教授Paul Valdmanis和他实验室的博士后研究员Meredith Course,他们一直感兴趣于可变数量串联重复(Variable Number Tandem Repeats,VNTRs)的相关研究。在这一发现的过程中,他们对一个已有数位成员患上肌萎缩性侧索硬化症(ALS),即渐冻症的多代大家族关注,并对其遗传病因进行了深入探讨。 研究者通过传统的连锁分析确定了18号染色体上的一个区域,所有患病的家族成员在该区域共同拥有一段4 Mb的DNA片段。在作者选择运用PacBio HiFi测序之后,结果远远超出了他们的预期。研究人员在WDR7基因中定位到一种69 bp,重复数量可变的串联重复序列,这段序列在ALS患者中呈现了明显富集。通常参考基因组中,重复序列的数量大约是6个拷贝,而通过PacBio的测序技术,可以非常清晰明了的发现重复数量的变化,在受影响的家庭成员中可以看到该串联重复序列显著增加,达到了27~33个拷贝。 随后作者对来自不同地区的样本进行研究,将重复数量≥20的144个样本的WDR7重复区域进行了PCR扩增,进行了靶向扩增子的混样测序。从结果中获得的288个等位基因序列信息中,发现WDR7中69bp重复的拷贝数量在不同地区的个体中不同,并且这69bp的重复序列中还有6个可变核苷酸。 69 pb的拷贝数量在不同地区的个体中不同 69 bp的重复序列中的6个可变核苷酸 这是一次富有成效的探索,因为许多人类特有的VNTRs参与突触传递,与神经系统疾病有很强的联系。 对于作者来说,除了关注WDR7重复在偶发性ALS中的作用外,他们还计划继续使用PacBio HiFi测序技术来评估序列重复是如何在基因组中扩张的,从而了解重复序列扩张的过程中个体的变异,以及其他重复序列扩张的特点。 作者说 “我们无法通过PCR或Sanger测序得到这些信息。只有当我们开始使用这种可混样进行长读测序的方法时,我们才看到了样本中结构化的、清晰的轮廓。” ——Paul Valdmanis, Ph.D.Assistant Professor of Medical Genetics, University of Washington 确实,通过PacBio HiFi测序方案,相关的研究团队能够将接近300个样本的WDR7基因进行扩增混样测序。这是其他长读长测序技术所不能及的。 “大多数串联重复的研究,测量的是重复的长度,而PacBio HiFi测序更进一步提供了重复内部核苷酸的序列结构。这是史无前例的,而且非常有价值。" ——Meredith Course, Ph.D. Research Fellow, University of Washington 参考文献: Course, Meredith M., et al. "Evolution of a human-specific tandem repeat associated with ALS." The American Journal of Human Genetics 107.3 (2020): 445-460. 长按并识别左边二维码,添加企业微信联系人HiFi reads,了解PacBio的最新资讯,还可以与我们取得在线的联系。 基因有限公司作为PacBio公司在中国区的独家代理商,自2011年以来将PacBio第三代单分子实时测序技术引入国内,一直为国内用户提供专业的三代测序系统的安装培训,技术支持,应用培训与售后维护工作,赢得客户的一致好评与信任。基因有限公司将一如既往的支持越来越多的PacBio用户。




\r\n\n", 3,$destination); ?>